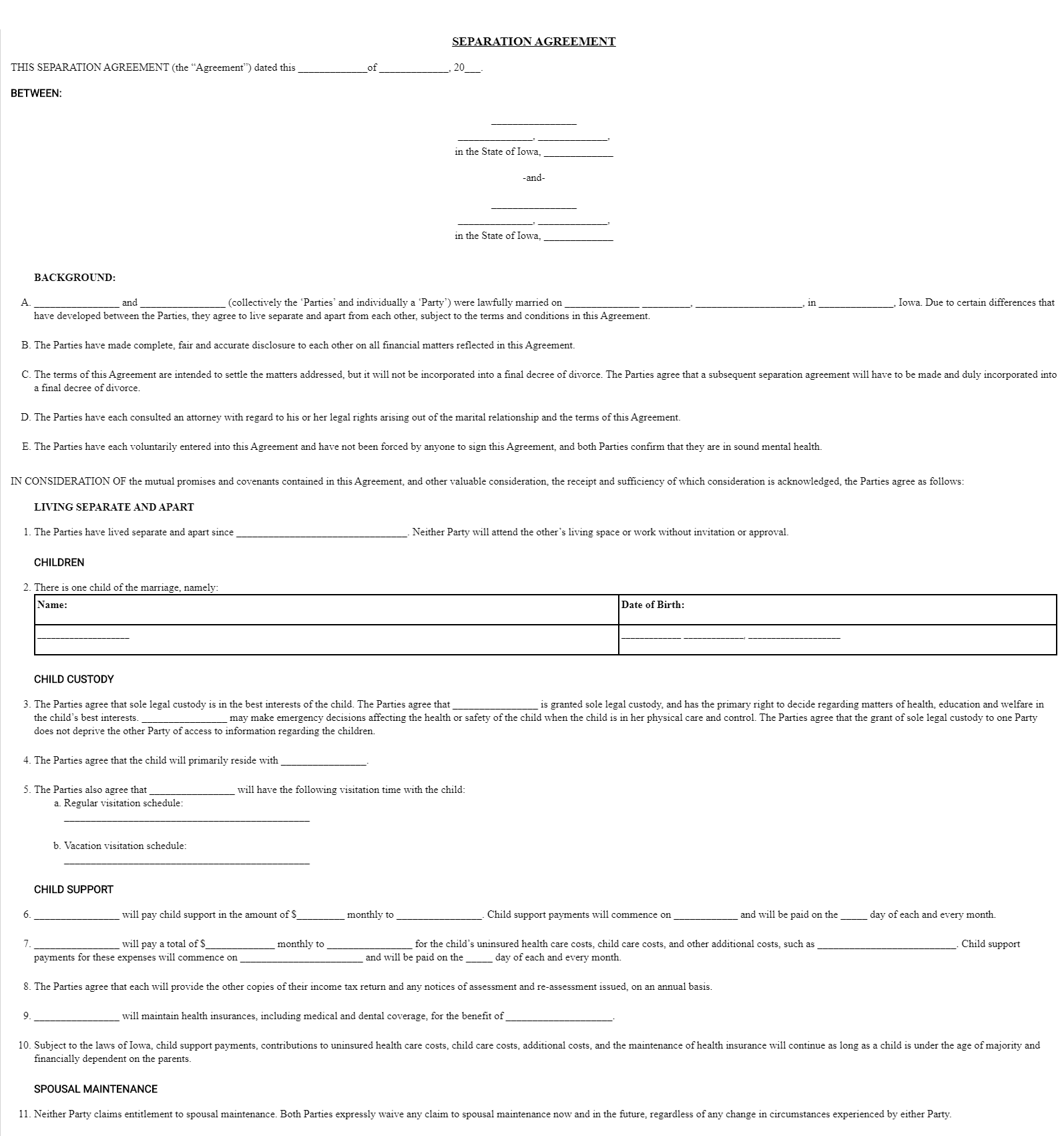
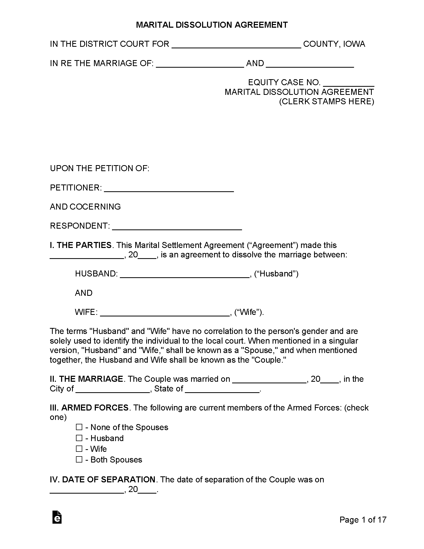
Free Printable Divorce Papers Iowa are essential resources for individuals navigating the complexities of divorce. Many people search for these documents online to streamline their process, ensuring they stay organized and productive during a challenging time.
These printable papers serve as practical tools, simplifying the often overwhelming tasks associated with divorce. By having access to these forms, individuals can manage their paperwork more efficiently, reducing stress and confusion.
Practical Uses of Free Printable Divorce Papers Iowa
Free Printable Divorce Papers Iowa are beneficial for anyone facing divorce, providing a structured way to handle legal requirements. Individuals can easily fill out necessary forms at their convenience, making the process less daunting.
Students and teachers also find these papers useful for understanding legal documentation. They can use them as examples in class discussions or assignments, enhancing their learning experience while gaining insight into real-world applications.
Small business owners and parents appreciate the organizational aspect of these printable papers. They help in planning and documenting important decisions, ensuring that nothing is overlooked during a significant life change.
Even in our digital age, Free Printable Divorce Papers Iowa remain popular due to their accessibility. People value having physical copies they can annotate and reference easily, making them a timeless resource for managing personal affairs.
Ultimately, Free Printable Divorce Papers Iowa not only save time but also empower individuals to take control of their situations. By providing clarity and structure, they play a crucial role in navigating the complexities of divorce.



